Recherche dans les archives du notariat (5E)

Vous connaissez le nom du notaire et la date de l’acte. Rien de plus simple, il vous suffit de vérifier que le fonds du notaire en question est bien conservé aux Archives et que la période que vous recherchez figure bien parmi les documents.

Vous connaissez l’étude, les noms du notaire et des actants, mais pas la date de l’acte. Consultez les tables alphabétiques des parties présentes et s’il n’y a pas de tables alphabétiques, consultez les répertoires chronologiques.

Vous ne connaissez ni le nom du notaire, ni le lieu, ni même la date, mais si vous avez une idée du lieu où l’acte a pu être passé et de sa date approximative, vous pouvez rechercher, en salle de lecture, par lieu d’exercice des notaires. Vous obtiendrez alors les cotes à consulter.

Si vous n’avez aucune idée ni du lieu, ni du notaire, ni de la date, il ne reste qu’une solution : Les sources complémentaires.

Les minutes notariales

En droit, une minute est l’original d'un acte authentique dont le dépositaire (officier public ou secrétaire-greffier d'une juridiction) ne peut se dessaisir et dont il ne peut être délivré que des expéditions (ou copies) ou des extraits : d’où les expressions minute d'un acte notarié, ou minute notariale.

Quant au terme de « minutier », il désigne le registre contenant l’ensemble des minutes d’un notaire.

La plus ancienne minute conservée aux archives, est un reste de fragment d’un registre pour l’année 1344 (5 E 27792) provenant d’un tabellion de Coutances et les plus récentes conservées datent de 1948 (notariat d’Hambye).

Au total, ce sont les actes d’environ 64 études manchoises, représentant près de 3,4 km linéaires d’archives notariales et près de 35500 liasses et registres qui sont ainsi disponibles.

Les actes postérieurs sont encore dans les études des notaires actuels.

Actes familiaux

Ils ne représentent qu'une petite partie des minutes passées par un notaire :

  • Les contrats de mariage et les donations entre époux auxquels il faut ajouter les consentements ou les oppositions à mariage qui se font aussi devant notaire.
  • Les testaments (dont les olographes).
  • Les règlements des successions : inventaire, liquidation, partage, vente de meubles...
  • Les comptes de tutelles ou de curatelles. Les actes concernant les mineurs sont du ressort des tribunaux et sont conservés dans les fonds de justice.
  • Les contrats d'apprentissage.
  • Déclarations de grossesse à partir de 1556.

Actes concernant la propriété

Ils représentent plus de la moitié des actes passés par les notaires de campagne et un tiers des actes des notaires urbains.

Ce sont principalement des ventes d'immeubles. Il y a également les échanges, les partages autres que successoraux, les donations...

Les procès-verbaux d'estimation de réparations ou de devis de travaux sont aussi passés devant notaire. Il existe aussi des actes concernant les biens mobiliers, comme des ventes de bois, d'animaux, de récoltes...

A la campagne, la majorité des actes concerne la gestion de la propriété et son exploitation par d'autres personnes que le propriétaire.

On trouve donc de nombreux baux à ferme, baux à moitié, baux à sous-ferme, baux à cheptel (même s'il s'agit d'une unique vache).

En ville, les baux à loyer sont les plus importants.

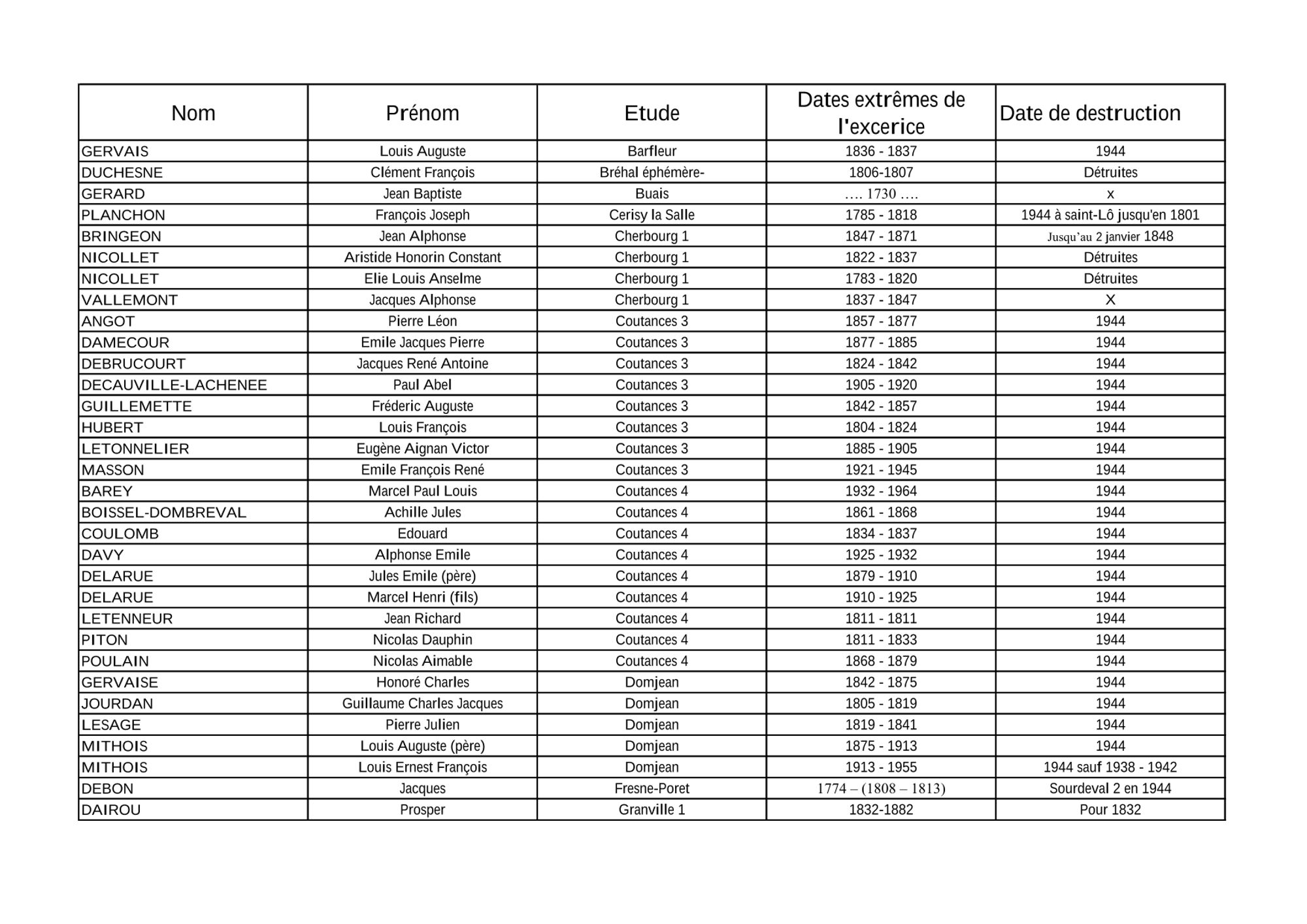
Liste des études et des notaires

Plusieurs études notariales de la Manche ont été partiellement ou totalement détruites lors des bombardements de juin 1944 .

Dans certains minutiers, des lacunes sont dues à d’autres aléas subis dans les études notariales même, ainsi que l’état matériel qui les rendent inexploitables et non communicables.

Glossaire

  • Les minutes. L’acte original est appelé minute (d’où le terme de minutier pour désigner l’ensemble des minutes et des registres d’une étude). La minute doit être signée par le notaire et par toutes les parties. On peut en tirer des expéditions appelées aussi ʺ grosses ʺ, qui sont établies en forme d’original et en possèdent la force exécutoire. Elles ne sont signées que par le notaire (destinées à être remises au demandeur et donc pas conservées au rang des minutes.)
  • Les répertoires et tables. Les notaires eux-mêmes ont, assez tôt, éprouvé le besoin d’établir des documents leur permettant de retrouver les minutes, établies la plupart du temps dans l’ordre chronologique. On peut faire la distinction entre les :

Répertoires : tenus dans l’ordre chronologique, ils font souvent apparaître le type d’acte en premier et renvoient, soit à la date, soit à un numéro d’acte.

Tables alphabétiques : par lettre initiale du nom de famille, avec des renvois plus ou moins détaillés à un type d’acte, à la date, à un numéro.

  • Contrat de mariage, ou traité de mariage, ou pactions de mariage. Le contrat de mariage est un acte obligatoirement rédigé par un notaire et en vertu duquel les futurs époux fixent le sort de leurs biens pendant leur mariage. Le contrat de mariage leur permet alors de déterminer le régime matrimonial applicable.

Utilisé dans toutes les classes de la société, mais souvent rédigé sous seing privé (sans notaire), le contrat peut être alors déposé parmi les minutes à une date très variable : du lendemain de la signature à 150 ans après, (souvent au moment de la mort d’un des conjoints). En Normandie, le contrat ne donne pas d’information sur la fortune du mari et l’apport de la future se limite à des meubles.

  • Testament. Rare sous l’Ancien Régime. Le testament est un écrit à travers lequel un testateur indique le nom des personnes à qui il souhaite transmettre ses biens une fois son décès survenu. C’est un document particulièrement délicat car il doit respecter plusieurs règles de fond et de forme. On distingue alors trois sortes de testaments qui sont : olographe, authentique et mystique. Le testament peut être intégré avec les minutes, soit classé à part.
  • Inventaire (meubles et papiers). Les inventaires sont rédigés presque toujours à l’occasion d’un décès. Rarissimes avant 1678, rares jusqu’au début du XVIIIe s. ils sont dressés dans des cas précis ; le plus souvent quand il n’y a pas d’héritiers directs (cas des célibataires, des mariés sans enfants) ou quand il y a au moins un mineur. Ils s’étendent souvent à l’analyse plus ou moins détaillée, des papiers du défunt. Certains notaires semblent distinguer les "Répertoires" (de meubles, de pommes, de grains) des "Inventaires" (de titres et papiers).
  • DonationLa donation est un acte par lequel une personne, le donateur, transmet de son vivant et gratuitement la propriété d'un bien à une autre personne, le donataire. Les biens donnés peuvent être des meubles ou des immeubles, mais ne doivent pas dépasser la part réservée à certains héritiers. Le donataire peut être n'importe quelle personne. La donation peut se faire de manière libre ou obligatoirement par acte notarié dans certains cas. Sauf exception, une donation est irrévocable.
  • Acte de notoriétéL'acte de notoriété est le premier acte rédigé par le notaire à partir duquel ce dernier établit plusieurs attestations dévolutives remises aux seuls héritiers du défunt (descendants, conjoint survivant, ascendants, légataires, etc.). C’est aussi un acte enregistrant la déposition attestant d’un fait vrai, connu et constant (identification d’un mort, changement d’état civil,…). Il suppléait  des actes d’état-civil disparus ou détruits pour les étrangers résidant en France. La rédaction d'un acte de notoriété est aussi nécessaire à l'héritier qui doit prouver sa qualité d'héritier.

Actes de l'ancien régime

  • Aue : abréviation pour autre. Dans les répertoires et tables, équivalent de idem.
  • Audience : lecture d’un acte par le notaire à l’issue de la grand-messe paroissiale (pour assurer sa publicité). Forme ancienne : " Ouence " (encore usitée au XVIIe s.).
  • Bail à cheptel : bail de bestiaux dont le profit doit se partager entre le preneur et le bailleur. Ce contrat est fort usité dans plusieurs coutumes. On distingue deux sortes de cheptels : le simple et celui de métairie. Le cheptel simple a lieu quand le propriétaire des bestiaux les donne à un particulier qui n’est point son fermier ou métayer (système le plus usité dansla Manche). Les baux à cheptel sont passés, en principe, en brevets.
  • Brevet : Acte dont le notaire ne conserve pas la minute et qu’il délivre aux parties (procurations, quittances, actes de notoriété, etc.). Mentionnés dans certains répertoires dès le XVIIIe s, les brevets se retrouvent parfois annexés à d’autres actes (spécialement les procurations).
  • Délibération : Concerne, pour les particuliers, les affaires de tutelle (nomination de tuteurs, émancipation, etc.). En ce cas, m est l’abréviation de mineurs. Concerne aussi les diverses collectivités et notamment l’ensemble des paroissiens ("le général" de la paroisse) : nomination de trésoriers, de collecteurs ; vente des pommes du cimetière ; réparations de l’église, du presbytère, etc.
  • Dires : Procès-verbal de dires et soutiens, actes de dires et raisons : observation, réquisition, contestation ou réplique passée devant notaire à l’occasion d’un procès (assez souvent relatif au paiement d’une rente).
  • Donation : Le terme est utilisé pour une donation entre particuliers, mais aussi pour une fondation envers une église, un trésor, une école, etc.
  • Enfant de famille : Vivant chez ses parents et n’ayant pas de revenu fixe.
  • Expédition ou grosse : Copie d’une minute délivrée par le notaire (à une date variable). Ecrite soit sur papier, soit sur parchemin, et signée du seul notaire, les expéditions ne sont pas conservées parmi les minutes, ni même, en principe, à l’étude.
  • Fabrique [ou Trésor] : Biens et revenus appartenant à une église et destinés aux frais du culte et à l’entretien de l’église ; corps des marguilliers ou fabriciens chargés de l’administration de ces biens.
  • Fieffe : En Normandie, vente qui ne diffère de la vente ordinaire que parce que le prix, au lieu d’être un capital, est une rente perpétuelle ou foncière.
  • Fondation : Ne concerne pas exclusivement les fondations de messes et offices pour les défunts. Peut aussi s’appliquer à des contitutions de rentes en faveur des pauvres étudiants ou ecclésiastiques, du mariage des filles pauvres, des écoles de charité, du soulagement des prisonniers, des précautions pour les incendies, de la cloche pour les agonisants, etc.
  • Général : L’assemblée du général de la paroisse, ou "général", regroupe (dans la Manche) l’ensemble des paroissiens et traite de toute les affaires relatives à la communauté des habitants, civiles (impositions, etc.) et religieuses.
  • Héritages ("registre hérédital") : Actes ayant des répercussions foncières (ventes, contrats de mariage, successions, etc.), à peu près assimilables aux "transcrits" (en pratique plus qu’en théorie).
  • Hoirs :  Héritiers.
  • Incommunité de biens : Acte par lequel deux personnes voulant vivre ensemble déclarent les conditions sous lesquelles elles entendent faire demeure commune, pour empêcher qu’après l’une d’elles, leurs successions ne soient confondues.
  • Licitation : Acte par lequel un immeuble commun à plusieurs personnes et qui ne peut se partager commodément, est adjugé à l’un d’entre eux ou même à un étranger.
  • Meubles (registre mobile) : Actes n’ayant pas de répercussion foncière : baux, transactions commerciales, etc. Certaines études relient séparément les héritages et les meubles ; les derniers exemples de ce système s’arrêtent à 1692.
  • Minute :  Acte original signé soit des deux tabellions (ou notaires) et des parties, soit d’un notaire, de deux témoins et des parties ; écrit sur papier et sur feuille volante ; commençant en haut de page ; conservé à l’étude. Les minutes, dans la Manche, apparaîssent vers 1560 ; elles ne sont uniformément usitées qu’à partir de 1640. Le remplacement du second notaire, par deux témoins est, implicitement, autorisé par l’Edit de 1677 et surtout celui de 1686 ; l’usage entrera très lentement en vigueur au cours du XVIIIe s. et du début du XIXe s. (à Avranches seulement en 1836).
  • Nom et surnom : Acte de dépôt des nom et surnom des mariés séparés civilement et des interdits pour inscription au tableau conservé par les notaires.
  • Notaire : Dans la Manche, le terme de notaire est très rare avant 1674 ; il ne s’implante vraiment qu’avec l’édit de juillet 1677. Auparavant, sont seuls usités tabelliontabellion juré, tabellion royal.
  • Ouence : Cf. audience.
  • Procuration : Délivrée en brevet, ne se trouve pas, en principe, dans la collection des minutes du notaire qui l’a délivrée, mais annexée à un autre acte. Document fondamental pour l’étude de l’émigration, définitive ou temporaire, de toute les classes de la société , clercs, nobles, marchands, colporteurs, domestiques, etc.
  • Réméré (vente à) : Vente où le vendeur se réserve le droit de racheter le bien vendu dans un délais convenu.
  • Répertoire : Le mot a 3 sens :

Equivalent d’inventaire (après décès).

Signifie : relevé sommaire des actes d’une étude dans l’ordre chronologique

Au sens large, " répertoire " englobe les répertoires (chrono.) et les tables (alphabétiques).

Les répertoires sont presque toujours dans un ordre chronologique strict. Exceptionnellement ils seront "chronologico-analytiques" : à l’intérieur d’une année donnée, les actes seront alors classés selon leur objet : les accords, puis les constitutions de rente, puis les contrats de mariage, puis les donations, les fieffes, les partages, etc.

  • Résignation : Acte par lequel un bénéficiaire renonce à son bénéfice, (le plus souvent) en faveur d’une personne à qui il veut que son bénéfice parvienne (abbaye, prieuré, évêché, prébende, cure, etc.).
  • Résolution : Annulation d’un contrat pour défaut d’exécution de la part de l’une des parties.
  • Retrait : Faculté de se faire subroger à l’acheteur en remboursant à l’acheteur le prix principal, frais et loyaux coûts, dans une limite de temps généralement fixée à un an . On connaît surtout deux sortes de retrait (féodal et lignager).
  • Retrait féodal, ou clameur féodale : Faculté possédée par le seigneur de retirer à lui, en cas de vente par le vassal, les fiefs tenus et mouvants de sa seigneurie et même les rotures vendues en son fief.
  • Retrait lignager, ou clameur lignagère : Faculté accordée aux parents (lignage), dont provenait un bien, de retraire ce bien lorsqu’il était vendu, afin d’assurer la conservation des propres dans la famille.
  • Rétrocession : Acte par lequel nous transportons à quelqu’un le droit dû qu’il nous avait cédé auparavant.
  • Sommation respectueuse : En application de l’édit de 1556, acte par lequel le fils agé de plus de 30 ans, ou la fille agée de plus de 25 ans, requiert ses père et mère de consentir à son mariage. L’usage est de réitérer jusqu’à trois fois les sommations.
  • Sous-âgé : Mineur - Orthographes variables : " soubzaagé ", etc.
  • Soumission : Action par laquelle on offre de payer, pour sa part, une certaine somme. Peut concerner cautionnement, pension alimentaire, rente, mais aussi gestion de tutelle, etc.
  • Tabellion : Cf. Notaire.
  • Table : Index ou relevé sommaire des actes dans l’ordre alphabétique des parties. Sous l’ancien régime, les tables, le plus souvent, ne relèvent que le premier nom cité (vendeur, bailleur), à l’exclusion du nom de la seconde partie (acquéreur, locataire). Ces tables sont parfois dans l’ordre alphabétique strict (Dumaine, Dumont, Durand) ; plus fréquemment, sous l’ancien régime, elles sont " alphabético-chronologique " : sous une initiale donnée (D), tous les noms commençant par cette initiale sont classés dans l'ordre chronologique des actes. Plus exceptionnellement, elles peuvent être "chronologico-alphabétiques".
  • Testament : Rare sous l’ancien régime. Testent seulement en pratique ceux qui n’ont pas d’héritiers directs ou ceux qui laissent des mineurs (pour régler les problèmes de tutelle et d’éducation).
  • Titre clérical : Rente constituée par la famille d’un sous-diacre pour lui permettre de vivre honorablement. Ces titres sont passés soit devant les notaires apostoliques, soit devant les notaires habituels ; dans ce dernier cas, ceux du Clos du Cotentin remettent les minutes au notaire de Valognes ; ceux du Coutançais et du Saint-Lois les gardent dans leurs collections.
  • Titre nouvel : Reconnaissance que l’on fait passer à celui qui doit quelque somme ou quelque rente, soit pour empêcher la prescription, soit pour donner l’éxécution parée contre l’héritier de l’obligé. Le titre nouvel tient lieu de titre primitif et y est toujours présumé conforme.
  • Transcrit (terme moderne) : Cahier avec titre comprenant les copies des minutes les plus importantes. Ces copies sont contemporaines des actes, à quelques jours près. Chaque acte est signé de deux tabellions (à l’exclusion des parties) ; les actes se suivent, même en cours de page et au verso, et sont écrits d’une seule main posée et régulière (contrairement aux minutes, rédigées par de multiples mains). Les transcrits sont d’un emploi exclusif au Moyen âge et jusque vers 1560. Ils coexistent avec les minutes jusque vers 1640 ; les derniers disparaissent seulement vers 1670. Entre 1560 et 1670, il arrive donc qu’une même étude conserve deux fois le texte d’un même acte. Certains transcrits du  XVe siècle sont sur parchemin.
  • Transport : action de reporter sur un autre un droit qu’on possède.
  • Treizième : Nom donné en Normandie aux droits de mutation généralement appelés Lods et ventes.
  • Trésor : Cf. Fabrique.
  • Verbal : Acte dans lequel un officier de justice ou autre personne ayant qualité a constaté un fait et toutes ses circonstances.

Les grandes dates

  • En 1304, Philippe le Bel règlemente le notariat. Il devient un office royal et les notaires déjà en fonction doivent recevoir une nouvelle investiture.
  • En 1539, l’ordonnance de Villers-Cotterêts de François Ier impose l’obligation de rédiger les actes en français, d’assurer leur conservation et de tenir un répertoire. Cette même ordonnance instaure l’inscription ou insinuation auprès des juridictions royales des actes destinés à être portés à la connaissance du public.
  • 6 octobre 1791, création d'un coprs unique : les notaires publics.
  • En 1803, la loi organique du notariat définit le notariat moderne : fonction, ressort, devoirs, actes faisant foi en justice et sont exécutoires dans toute l’étendue de la République, communicabilité des archives fixée à 100 ans avec accord des ayants droits ou de la personne. Le notaire fait désormais partie des « officiers publics et ministériels ».
  • En 1928, la loi sur les dépôts donne la possibilité aux notaires, aux chambres des notaires et aux greffes des tribunaux de déposer aux archives départementales leurs archives de plus 125 ans.
  • En 1958, réforme judiciaire.
  • 29 novembre 1966, possibilité accordée aux notaires de former des sociétés professionnelles, ce qui entraîna des regroupements d'études et la constitution d'études cantonales. Ce regroupement d'études eut des conséquences sur le sort et la conservation des minutes, dont certaines, sans doute, disparurent n'ayant pas fait l'objet d'inventaires précis.
  • En 1979, les minutes des notaires deviennent des archives publiques et doivent à ce titre être versées obligatoirement aux archives départementales au-delà de 100 ans.
  • En 2000, loi portant adaptation du droit de la preuve aux technologies de l’information et relative à la signature électronique et l’instauration de l’acte authentique électronique.
  • En 2008, les minutes des notaires sont désormais communicables à 75 ans.

Sources complémentaires

Sous-série 3 Q (enregistrement)

La loi du 19 décembre 1790 remplace le contrôle des actes pour la formalité de l'enregistrement. Tous les actes sont donc enregistrés dans la catégorie des actes civils publics. Il existe aussi des registres des actes sous signature privée, transcrits souvent en grande partie, où l'on rencontre des actes tels que des inventaires de meubles, contrats d'apprentissage, billets à ordre... qui n'avaient fait l'objet que d'un simple accord écrit entre deux parties. Les tables de l'enregistrement, en particulier les tables des testaments, des successions, des vendeurs et des acquéreurs, les fichiers mobiles simplifient les recherches dans les registres, qui sont consultables dans la sous-série 3 Q et dans les versements W pour la période postérieure à 1940.

Sous-série 4 Q (hypothèques)

La conservation des hypothèques est créée sous la Révolution par la loi du 11 brumaire an VII (1er novembre 1798). Elle est chargée de tenir à jour et de transcrire tous les actes relatifs à des mutations de propriété. La formalité de l’hypothèque a pour but d’assurer la publicité des actes. Elle donne droit, par ailleurs, à la perception d’un droit par le Trésor public. Les actes notariés sont transcrits intégralement dans des registres, appelés pour cette raison « registres de transcriptions ». Les transcriptions sont littérales et complètes. Elles peuvent donc remplacer les actes lorsqu'ils ont disparu. Elles sont consultables dans la sous-série 4 Q.

Fichier métallique et fichier Nédélec

Vous retrouverez dans ce fichier métallique (en salle de lecture), les fiches contenant des dépouillements de contrats de mariages, des inventaires et autres types d’actes. Ces dépouillements concernent certaines études notariales comme Tourlaville, Valognes, Carentan, Torigni, Coutances et autres. Elles sont classées par ordre alphabétique de personnes et de lieux.

Dépouillements du notariat

Vous retrouverez dans ces documents classés en sous-série 18 J et CG-N.,  les relevés de contrats de mariages pour certaines études notariales de Manche. Ce travail de dépouillement est réalisé par des généalogistes.

Archives du tribunal de 1ère instance (sous-série 3 U et W)

Dans certains tribunaux de 1ère instance de la Manche, vous retrouverez des copies collationnées d’actes notariés (copies des originaux d’actes notariés et qui ont la même valeur car elles ont été authentifiées par un notaire) déposées dans la sous-série 3 U. Ces documents peuvent venir compléter les minutes manquantes d’une étude notariale.

Vous retrouverez aussi les copies des répertoires de notaires versés dans les différents tribunaux. Ils viennent compléter les manques pour certaines études et permettent aux lecteurs de faciliter leurs recherches dans les minutes notariales. D’autres documents sont déposés comme les testaments olographiés.

Fonds privés (série J)

Les grosses, copies et expéditions, se trouvent dès l’origine dans les mains des contractants. Il ne s’agit pas d’originaux, mais leur recours peut être utile, lorsqu’elles existent. Il faut juste savoir si elles ont été réalisées, et si elles ont été conservées, dans les familles, les entreprises, ou dans un fonds privés  et regarder si elles ont pu être déposées aux archives.

On retrouve aussi des fonds de dossiers clients concernant les archives privées des notaires, pour certaines études notariales comme : Beaumont-Hague, Carentan 2, Cherbourg, Ducey, Isigny-le-Buat, Pirou, Le Prétot, Saint-Hilaire-du-Harcouët, Saint-Lô, Saint-Pois, Saint-Sauveur-le Vicomte et Sainte-Mère-Église.

Archives nationales

  • Avranches, 1591-1592 et le Val-de-Saire, 1513-1516

Archives du Calvados

  • Baupte, 1529-1532
  • Sainteni, 1523-1524
  • Torigni royal, 1609, 1679-1680
  • Torigni comtal, 1624, 1695-1696
  • Condé-sur-Vire, 1678-1680
  • Beslon, 1650-1651
  • Montbray, 1665-1666
  • Chaulieu, 1650-1665
  • Saint-Martin-de-Chaulieu, 1686-1687, 1694

Bibliothèque nationale

  • Baupte, 1567-1569
  • Cerisy-la-Forêt (contrats d’héritage de l’abbaye), 1474-1480
  • La Haye-du-Puits, 1601-1602

Bibliothèque de Bayeux

  • Saint-Lô, 1543-1548

Bibliothèque de Granville

  • Granville, 1567-1570
Partager la page